
2023 新制: 年滿 18 歲就可以開股票帳戶!
為了讓剛剛加入股市的新手們可以快速掌握股票投資的最基礎知識,股票板發起共同籌備「股票新手懶人包」的計畫。歡迎板上高手們一起充實內容,提供有趣、實用的股票基礎知識!

我是狂徒,大家好。
最近我在寫〈指數戰國〉系列,專門從正反角度討論指數投資的周邊議題。如果妳對指數投資有興趣,也可以翻閱我和館長寫的《穩定致富》。
剛好D卡邀請我在股板放文章,我就調整文章順序,共襄盛舉。
我會透過本篇文章討論股息策略的陷阱、潛在的獲利原因和各界討論,相信各位讀者朋友看完後,對於「指數型和高股息ETF」的選擇會更加容易。
我先把結論放前面。
1. 財務規則上,股息是左手換右手。
2. 股息策略在一些地區/時段持續受到非理性追捧,因此報酬較佳,其它背景下則無明顯意義。
3. 資產配置的優化,比單純對於股息策略的改善更有幫助。
4. 股息折現模型,是一個熱門吵架題目。
5. 股息本身和因子與折現有緊密關聯。
6. 有些基金會迎合散戶買進高股息股票,但是代價高昂。
7. 股息對於波動的解釋能力,會隨時間的長度改變。
8. 有時候股息具有對報酬的預測性。
9. 股息可能隱含著公司訊息,但是市場不會馬上反應。
10. 如果妳想穩定致富,如果妳想要輕鬆的讓資產成長,如果妳懶得看或看不懂以上內容,妳適合指數型ETF
讓我們來看看什麼是股利。
依據會計準則(IFRS),公司發出的股利有大致四類。
1. 現金股利(簡稱股息)
2. 股票股利
3. 財產股利
4. 清算股利
一般狀況下,我們只會遇到現金股利和股票股利,而又以現金股利為主。
公司決定發出一筆現金給股東後,會經過財報編列,然後統計當時的股東數量。
在「除息日」後,股價會往下跳空,差額正好是現金股利額度,而在約一個月後的「分發日」,股東就能收到現金。
也就是說,這筆資金是從公司內部流到股東手中。公司分發這筆資金後會有所損失,股價下跌,連帶影響股東的權益,然而因為股東能收到現金,所以一來一回間,剛好不賺不賠。
這種當下調整不涉及外部資金的行為,如果放在交易策略中,就稱為自融資(self financing).
就像一顆椰子,我把椰子汁抽出來,雖然我手中有椰子汁,但是椰子也同時變輕了,總體重量沒變化。
這種左手換右手/前腳換後腳的行為瞬間,並不會增加或減少股東權益,現金股利也不會「憑空產生」或消失。
(當然,如果有讀者朋友認識能讓現金股利憑空產生的會計師事務所,也可以介紹給我。)
因此,從獲利的角度來看,公司把資金從內部移到外部,並且變成股息發給股東,並不影響股東的權益。
而對於投資人的資產成長而言,公司不發股息 = 拿到股息後全部再投入 > 股息花掉
妳並不需要讀懂公司會計,也可以知道「錢不會莫名其妙出現」的道理。
有些人認為,雖然股息並不會帶來額外報酬,可是他們喜歡「穩定現金流」的感覺,那我有兩個初步建議。
1. 買債券。債券價格超級穩定,而且連每期配多少現金都已經寫好了。如果妳組成「債券梯」,也可以每個月穩定收現金。
2. 手動賣股票。妳完全不用擔心股票或ETF突然宣布不配息,也不用在除息後還要等一個多月才能拿到錢。
別忘了,股息有停發的可能,妳靠公司不如靠自己。
才不會等著股息cover,結果遇到股息over.
我們再來看看風險層面。
如果妳選擇高股息ETF,會因為排除掉一些低股息的公司,導致可選擇的目標變少,造成非系統性風險無法完全被排除。
如此一來即使報酬相同,妳也必須承受更大的波動風險。
請注意,我不是說高股息ETF報酬一定比較差,我是說它風險比較大。
換句話說,當妳選擇高股息這個策略時,必須要確保手中持股的報酬確實比較好,同時不能過度集中,才有辦法達到和簡單持有大盤同樣的風險報酬比例,而這是很難的事情。
「狂徒,可是我聽XX教主/教母/教父,或是XX王/XX哥/XX姐......全部都在推高股息ETF,他們不是也在賺錢嗎?」
當然也在賺錢,我從沒說過高股息策略不賺錢。
我是說,相比妳投注的精力,妳不如用大盤型的策略來獲取低風險的穩定報酬,而不是把希望寄託在充滿不確定的基金經理選股上。
況且據我觀察,會喜歡開課宣揚、推廣高股息ETF的人,資產頂多在千萬等級,那是因為眼界有限。
而資產過億的人,普遍會開始接觸到「資產配置」和各類實踐工具,尋求風險更小和報酬更好的組合方式。(還有一部分原因是稅和國際投資。)
因此,我建議妳仔細思考,自己是想要在市場玩樂,還是在市場獲利。
想玩的話,隨便買都可以,但想獲利的話,就需要注重「投資效率」。
所謂投資效率,就是追求最低風險和最高報酬,所以越是專業的投資人,越不受情緒影響,只在意他的資金是否達到最大使用率。
對於剛摸股票、還在到處探索的朋友,我的結論也很簡單。
如果妳喜歡心理的舒服,換取不見得比較高的報酬,那歡迎買入高股息ETF
如果妳覺得自己就是喜歡賺錢,想要穩一點和賺快一點,那妳適合買大盤型ETF
我是小資族,所以我求穩,我追求低風險。
同時我也想賺錢,所以我追求賺錢效率。
如果妳認為錢很多,愛怎麼玩就怎麼玩,這篇文章對妳來說就是雜訊。
至於投資高手,也歡迎隨意評點幾句。
話說回來,投資是自己的事情。
我只講道理,不傳教,不裸奔,妳虧錢也不關我的事情。
You know the drill.
好了,文章進入第二階段。
「狂徒,理性的人不追求股息。可是,如果市場上有一大群不理性的人,就是愛著高股息,那麼高股息股票本身是不是會上漲?」
這是很好的切入點。
事實上,本篇文章的重點就在於高股息對投資人的影響。
傳統的金融理論本身就有不同分支。
有人認為理性投資人不會考慮股息對報酬的影響,例如Modigliani–Miller理論,不過也有人認為「落袋為安」的情緒能推動價格,同時也有人從稅收角度推論股息會壓制價格。
到底情緒會怎麼影響價格呢?
這樣吧,我先說個故事。
Payless是一家平價鞋店,商品大概在千元台幣水準。
有一天,Payless在鬧區精華地段開了一間「假店」,取名Palessi,反正就是看起來很高級的名字,並把商店裝潢成奢華的風格。
在開幕當天,他們把Payless鞋子的標籤換掉,並以約20倍價格出售,結果買的人非常高興,稱讚「質感高級」、「物超所值」...
如果市場理性,這種定價錯誤不會產生,可是顯然市場就是不理性。
對於理性的投資者而言,高股息本身沒有什麼吸引力,問題是,人類不可能完全理性。
或者換句話說,或許人們看到了什麼,所以願意付出更高的價格。
幾周前,我曾經買幾罐茶葉送朋友。
一罐規格75公克,1800元。(換算一斤約14400元)
以茶葉的行情而言算比較高價,而且有很大機率包含了「品牌溢價」,那我為什麼還買?
因為,在我的評價系統內,我認為它物超所值,適合送人。
我並不是完全科學的在估算茶葉價格,而是考量了品種、觀感和對方的愛好。
再說個例子,前陣子我和朋友喝酒,其中一瓶是61°威士忌原酒。
由於已經絕版,我們上網查它的價錢,結果行情從6000到30000都有。
同樣的酒,卻有不同的估價,這正好說明市場投資人並不能準確的判斷出商品價值。
身為剛好懂些「因子投資」的作者,我要從科學的因子分析切入,描述這些非理性或看似非理性的市場行為。
由於股息一直是因子和異象投資流派的吵架項目,我嘗試整理手邊一些有趣的資料,供各位讀者朋友判斷。
狂徒style,妳懂的。
Barra在被MSCI收購前,它的多因子風險評估模型就很有名,不過主要流傳於業界。
不論妳從MSCI的官網查詢,還是去翻BARRA handbook,應該都能看到股息殖利率的因子。

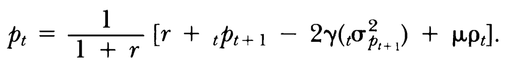
不過,股息本身到底是不是因子呢? 一家公司的股息,在會計準則下不影響公司價值,我們可以透過賣出股票得到「合成股息」,理論上這和實際股息相同,而也應該和回購一樣。但是實際上,股息能成為我們預測報酬的依據嗎?
這還真難說。De Long等人寫出"Noise Trader Risk in Financial Markets",認為市場的情緒確實有可能影響風險溢酬。他們的結論是,如果配息的波動與公司基本面直接相關,而股票價格與公司基本面又和風險噪音稍微相關,那麼在其它條件相同的情況下,實際股息和合成股息不同。

p: 價格
t: 時間
r: 股息
γ: 絕對風險厭惡參數
σ: 標準差
μ: 風險資產比例
ρ: 常態分佈隨機變數
這是因為,對於投資人而言,股息可能隱含著公司價值、穩定性、自由金流、營運狀況......等資訊,所以有時候表面上的股息,可以被其它風格因子所解釋,而這是會計層面無能為力的現象。
換句話說,如果妳關注著公司的盈餘或本益比(PE),很有可能會無形間被股息這個指標所影響,而對於這些市場行為,人們開始往幾個方向研究。
Ball寫的 "Anomalies in Relationships Between Securities' Yields and Yield-Surrogates." 就嘗試利用不同角度解釋投資人如何看待股息,以及如何因為股息背後所代表公司的資訊而影響股票價格,這其中就包含了資訊成本和人性。Conover等人的 "What Difference Do Dividends Make?" 也提到,就算在控制各種因子之後,股息本身還是有對於股價預測的顯著效果。他們評估了股票配息的投資收益,有了一些結論。首先,高股息股票的波動風險最小,同時每年的回報率比不發股息的股票高1.5%以上。再者,採用高股息策略對於不同風格因子的公司有不同效果,雖然成長股和小市值通常被認為是最需要金流再投資的,但統計結果卻發現,這類公司結合高配息能有最高收益。最後,對於那些「價值投資」者而言,最好買入無股息股票,因為根據研究,無股息之下的小盤價值股和小盤成長股之間,每個月報酬差距超過1%,我想這個結論也呼應了巴菲特不發股息的原因。

從另外一個角度看,「價值」和「盈利」因子也能夠解釋高股息因子的股票表現。像是Blazenko等人的"Non-Dividend Paying Stocks and the Negative Value Premium"說明,由於盈利能力和市場價值正相關,所以發股息的股票具有價值溢價,而不發股息的股票具有負的價值溢價。更白話的說,當我們使用多因子模型來預測報酬時,如果既有的因子已經有足夠的解釋能力,那麼就沒必要加入一個重複的因子。這就像我們在路上隨機攔車,乍看之下黃色的車子比較容易停下來,但經過研究就會發現,很可能只是因為計程車都是黃色的罷了,我們沒必要保留黃色這個因子。所以,在投資實務層面,也有人認為股息根本就不是因子,在既有模型裡面加入股息,並不能提高預測能力。更激進的說,如果因子模型不能解釋股息的收益,也可能代表因子模型本身有缺陷。
如果投資人把公司宣布配息,當成是一個超越金錢本身的資訊,那事情會更有趣。Hartzmark等人的"The Dividend Month Premium",發現公司在預期配息的月份中有正的異常收益。這種預測配息月的異常報酬率,每個月比其它公司高出53bps,也比非預測配息月份高出37bps。這呼應了時序分析的結果,也就是希望領息的投資人在除息日之前進場而抬高價格,導致接近除息日的時候,每日回報率會增加,但配息後又成為負值。最後他們認為,在經濟不穩定時期,股息需求和回報也可能更高。而同樣和經濟因素有關,Ung等人的"What Is in Your Smart Beta Portfolio? A Fundamental and Macroeconomic Analysis"也宣稱,根據歷史,熊市時期的低波動、高品質股票往往能跑贏大盤。而考量因子曝露後,股息增長和報酬與品質混合策略的指數,又比其它競爭者優秀。
講到股息以及暗示的傳播,各位可以參考You等人的"Abnormal Dividend-Yield Returns and Investment Strategy". 他們研究了台灣投資人對於股息的偏好,以及其對股價的影響。研究發現在CAPM模型之下,股息的高低和股票回報呈現「U型」,也就是雖然整體而言股息越高報酬越多,但是最低股息的那些股票報酬比中等股息還要好。另外,雖然股息本身暗示著公司的好消息,但這個消息並不會馬上被市場吸收,而是呈現穩定消散的現象,並持續超過一年。
無獨有偶,You和共同作者在另一篇研究文獻中"Dividend yield investment strategies in the Taiwan stock market"放了相似的結論,雖然市場相信股息象徵著公司的盈利,但這些消息卻因為大眾反應不足,而不會馬上影響股價。這種狀況,也就是知名的PEAD(盈餘公布後漂移). 與之呼應的,根據 "Post-Earnings-Announcement Drift: Delayed Price Response or Risk Premium?",造成PEAD的原因可能是市場反應不完全,或是根本太慢響應,因此在宣布發股息之後,價格仍會持續受影響而移動。
顯而易見,股息可以被什麼因子解釋,仍是各界爭議的題目。根據Vanguard "An analysis of dividend-oriented equity strategies",高股息策略隱含著價值因子與低波動因子,而股息成長策略則包含了低波動因子和品質因子。不過從盈利的角度來看,Kyosev等人 的"Does Earnings Growth Drive the Quality Premium?"則提到,股息有時候象徵著盈利因子,因此能有限預測股價表現。

他們認為,唯有品質指標能貼切描述未來收益的增長的時候,它們才能預測未來的股票回報,否則根本無效。而又因為品質溢價和倒閉風險之間沒有關係,所以照理說品質才是衡量真實盈利能力的指標,換句話說,市場的「錯誤定價」比倒閉風險更可能導致品質溢價出現。另一方面,作者們也分析了各國和各資產環境中,品質因子預測能力的穩健性。根據統計,美國、歐洲、日本、新興市場和公司債券都支持他們的論點。所以粗略來說,如果股息能代表公司品質,而品質因子又能代表未來收益成長,那麼股息在此有穩定的報酬預測能力。
同樣是關於品質因子的研究,Brightman等人的 "The Market for "Lemons":A Lesson for Dividend Investors"表明,高品質的高殖利率才有意義,而且在執行高股息策略時,也需要以合理的價格找到好公司。畢竟爛公司的低股價可能導致殖利率偏高,但股息根本無法持續。相似的,MSCI的"Harvesting Equity Yield",在提到股息和報酬的關係之後,也特別描述股息「陷阱」。這類劣質股息,很可能是為了掩蓋財務漏洞和獲利瓶頸,所以當財務狀況惡化時,投資人就要小心公司破產風險了。

除了既有的模型外,Stambaugh等人的"Mispricing Factors"也比較不同多因子模型,他們認為除了市場和規模因子,具有兩個「市場錯誤定價」因子的四因子模型,比傳統知名的四因子和五因子模型更能描述大量異象。具體而言,在加入RMW盈利因子後,原先包含在73個異象之中的股息因子,解釋能力就被減弱了。

也有的人認為,股息到底有沒有意義和預測性,與地區、時段以及公司風格有關。
Johnson資產管理公司的"Equity Income Investing: Beyond Dividend Yield"就比較了股息和不同行業、季度、年代的關係,認為股息帶來的超額報酬會隨環境變化。

Baker等人寫的"Investors and dividend yields"研究瑞典股市,認為股息和報酬無顯著關係。具體而言,使用多變量分析時,他們發現股息股票表現優於不派息股票,但是在控制報酬率大小之後,在利率下調時期的表現結果不一。這呼應傳統研究的結論,也就是股息增長與通貨膨脹的相關性,比股市回報或收益增長的相關性更強。另外,Rangvid等人的"Dividend Predictability Around the World"分析各國股市,發現股息對於報酬的預測在美國失效,而且隨著公司將股息刻意平穩化之後,會進一步削弱預測能力。

更廣泛的看,Monteiro等人的"International evidence on stock returns and dividend growth predictability using dividend yields"探討美國之外的狀況。二戰後的股票收益可預測,而股息在美國和英國難以預測,在西班牙和義大利則相反。有趣的是,在德國,回報和股息有一些短期可預測性,而在法國只有回報可預測,但要是到了日本,兩個變量都無法預測。在英國,股息的平穩性和可預測性之間沒有明顯的關聯。總而言之,對美國而言,戰後的股息預測性不見了,我認為這很大程度呼應了以美國為主體的股息因子研究。

我們接著看看中國的狀況。華泰的〈紅利因子的有效性研究〉研究了A股的實際證據,發現股息和報酬的預測能力和公司風格有關。

而中泰的〈股息率因子的有效性及改進〉則認為,股息本身具有影響報酬的能力,而且有分紅的公司比例逐漸上升。

現在,我們看看台灣的相關討論。
黃的〈元大台灣 50 與元大高股息 ETF 投資績效之比較〉闡明,不論單筆還是定期定額,在每年獲利了結之下,元大高股息ETF的收益率都明顯優於元大台灣50ETF。不過在風險調整後,兩支ETF的單筆或定投都沒有明顯差距。

也有人將股息策略和動量策略結合。周在〈高股息與動能策略在台灣股市的實證分析〉發現,想利用高股息策略獲利,可以把形成期和持有期控制在1到9個月,或是長期利用反向操作。動量策略組合在多頭時期可以短期產生正報酬,不過在空頭時期則多為負報酬,而且越長期持有虧損越多。換句話說,高股息的動量策略在牛熊市之間有很大差異。
當妳決定採用股息策略的時候,還有一個重點,妳不妨問自己,是真的喜歡股息,還是股息成長。畢竟同樣是股息策略,有些人喜歡股息增長,有人喜歡股息和品質混合,有些人中意高股息。
Chiang寫的一篇"High Dividend Yield Does Predict Lower Dividend Growth: A Natural Experiment",便描述了股息和股息成長的相反關係。換句話說,現在的高殖利率和低價格,同時暗示著未來股息增長受限。更有趣的是,經過研究發現,當股息剛好能代表和真實價值相關的現金流時,我們可以從殖利率中預測股息成長率,而這結論呼應了Kyosev等人。Boudoukh等人寫的"On the Importance of Measuring Payout Yield: Implications for Empirical Asset Pricing"也提到,當我們使用配息率而不是殖利率時,無論短期或長期都有統計和經濟上顯著的可預測性,而且證據表明,配息率在cross sectional中具有超過殖利率的預期能力。最重要的是,根據配息率的多空組合,是一個有效的報酬因子,我想這是股息投資人的好消息。
我們看看股息策略的另外一篇文章,Qing Li在"Combining the Quality Factor With Dividend Yield: A Study of S&P DJI Dividend Strategies"提到,同樣都叫股息策略,但它們的細節並不相同。例如,有些人的目標是絕對殖利率,有些人則預期穩定的股息增長率,也有些人希望長期投資之下,報酬率能結合品質和低波動因子。她也宣布了好消息,整體而言這些股息相關的策略在絕對和相對回報都比SP 500優秀,其中品質和股息策略表現又最強,20年的平均報酬以11.04%勝過SP 500的5.42%

實務層面,投資人會面對稅的問題。在Chen等人的"Changing Risk, Changing Risk Premiums, and Dividend Yield Effects"中,他們利用time series和cross sectional分析,試圖採用參數的方式描述投資人如何「看待」股息。他們發現報酬率和殖利率的關聯會隨時間變化,或許是因為風險與股息的變化有關。另外他們還有個猜測,根據配息和不配息期間之間的報酬比較,現金股息對投資人的意義似乎和課稅無關,反而和經濟現象有關。

與之相對的,Karpavicius等人的"Dividend premium: Are dividend-paying stocks worth more?"則表示,股息或許會帶來超額報酬,而且和稅有關。
根據1975-2012年的資料,他們發現發出股息可以提高公司價值,因此股息有正溢價,這個結論和既有的一些文獻相左。他們在面板數據分析中用上了「最小二乘虛擬變量模型」(LSDV)和「傾向評分匹配」(PSM)兩個統計學方法,以應對公司隨機決定發股息的可能。在原始數據中,公司股權的股息溢價27.9%,公司資產的股息溢價為 11.0%。而採用LSDV和PSM後,相關數據大幅下降,變成股權5.3%,資產3.7%。無論如何,這些溢價都表示投資者寧願頂著更高的稅,也更喜歡股息而不是資本利得。經過研究,這些溢價的波動中,政策引起的經濟不穩定能解釋69.8%,而個人稅收優勢可以解釋54.7%,代表投資人情緒和稅都能影響股息溢價。最後作者們的結論也很有趣,小量的股息能增加投資人眼中的公司價值,而股票回購雖然意義相似,但需要非常大量的執行才能得到同樣效果。
看到這裡,或許妳會認為市場充滿著不理性和不公平,股息本身也充滿不確定,那恭喜妳答對了。Chemmanur等人的"Communicating Private Information to the Equity Market Before a Dividend Cut: An Empirical Analysis",說明了公司決定降低股息的前置作業和影響。現階段盈利能力較差,但具有長期成長性的公司,在降低股息前會做好充分的市場準備,白話文就是讓少數人先處置股票。這些公司通常在宣布的第一天會有負報酬,但之後便無顯著影響,而這種負報酬對於有準備的公司影響也較小。他們也發現,有準備的降股息公司,在公布訊息之後,所承受的股價波動比較小。好玩的是,這些有準備的股息殺手似乎對投資人有利,因為它們長期業績、配息、機構持股量和股票收益都更優秀。
市場並非永遠高效率,Manley等人的"The Market for Dividends and Related Investment Strategies"中,研究使用股息SWAP的投資人。作者認為市場隱含的股息增長與投資人的預期有差距,象徵著從錯誤定價中獲利的可能。而為了更準確預估股息,作者認為分析師應該將公司的股息支付「能力」和「傾向」分開。在他們的視角中,股息市場仍然在發展,但同時也有更多的銀行、基金和機構在搶食並消除錯誤定價。Miller等人的"Dividend Policy under Asymmetric Information"也認為基金經理和投資人的訊息不對稱,並且分析外界用股息評斷公司財務狀況的可能原因。他們得出兩種可能,包括「推斷效應」和「現金效應」,而他們認為推斷效應有效解釋了股息對於公司未來業績的預測能力。
現在,我們把目光轉向機構投資人。
Huang等人的"Institutional Holdings, Investment Opportunities and Dividend Policy"認為,在控制風格因子的情況下,機構投資者對股息有偏好,但這取決於發股息是否能呼應公司增長所需的資金。畢竟低成長潛力的公司喜歡發高股息,但高成長機會的公司,更傾向於把現金留在公司內部,因此少發或根本不發股息。
資產管理和基金經理方面則有不同的側重。
Jiang等人在"Reaching for Dividends"就表示,高股息股票往往在利率下降時維持較高價格,而在隨後利率恢復時,超額收益降低。這背後原因可能是因為投資人想要「搶股息」的機制。他們也發現,當利率下降時,散戶傾向於把配置中的債券轉成股票,並購買強調收益的股票基金。所以為了迎合這些投資人,這類基金經理在低利率環境下會刻意買入高股息股票,所以這篇文獻側面說明了市場情緒和需求對於價格和報酬的關係。
然而,追求股息數字的作法會帶來不良影響。Harris等人在"Juicing the Dividend Yield: Mutual Funds and the Demand for Dividends"就強調,共同基金在發股息之前購買股票以人工增加股息,稱為「榨果汁」。在他們的研究資料中,基金付出去的股息是手中股息的兩倍多。更詳細的說,榨汁和資金流入有關,而且更容易出現在不成熟的市場上。總而言之,這類行為和投資人對於股息的愛好有關,而很難用稅務或金流需求來解釋。畢竟,考量到每年多出0.57%到1.52%的稅,榨果汁會讓投資人付出高額代價。
「要買市值型ETF還是高股息ETF?」是很簡單的問題,因為妳會這樣問,就是市值型。
如果分不清報酬和殖利率,市值型ETF.
如果連左手換右手都不知道,市值型ETF.
如果連Beta和波動率都講不清楚,市值型ETF.
把最基本的股票規則學清楚,妳才有討論後續策略的資格。
要是你懶得了解,把耳朵遮起來,像隻鴕鳥一樣只追求幻覺,那你就是市場上的肥羊。
當然,我並不管他人怎麼投資,畢竟想讓自己愉悅有很多方式。
妳可以繼續love juicing,我也等著看妳的love juice.
投資,開心就好。
不過,如果說到賺錢,那又是另一回事了。
我每天都期望有人質疑我,正是因為我知道真理越辯越明,有人願意免費糾正我,我很感激。
我用因子的角度寫這一部分,並不是要告訴你唯一真理,而是要說明,股息本身不是三言兩語能說清楚的。
事實上,我也反對把高股息股票說成「長期報酬和波動保證垃圾」。
因為如果真的這麼垃圾,那恭喜了,妳反聖杯到手,倒著做就好。
如果高股息股票報酬真的會比較差,妳可以long市值/short高股息,直接穩定統計套利。
如果高股息股票的波動就是比較大,妳也可以用多空策略交易波動率。
請問,賺錢有那麼簡單嗎?
大略的說,無論是哪種高股息、哪種因子/異象模型、哪種解釋方法、哪個國家...股息都是一個充滿爭議的因子,而這就是我要傳達的衝突精神。
接下來,歡迎各位進入第三階段,看一點數學和模型,以及各界「吵架」。
林寫的〈最小變異數投資法於元大台灣高股息成分股之實證〉採用最小變異優化方法,重新調整了高股息成分股的權重。他們發現與0056相比,能得到更低的波動和更高的報酬。

TAIEX: 台灣大盤指數
0056.TW: 元大台灣高股息證券投資信託基金
MVP<30%: 最小變異數+單一權重不超過 30%
SRF<30%: Sharpe極大化+單一權重不超過 30%
MTM: 動量策略
從資產配置、組合優化和財務工程的模型下手,往往能得到事半功倍的效果,但同時也會激起不同立場間的辯論,我很喜歡。
就像Gordon模型,它假設股價都來自於股息折現,而且股息成長穩定,並且暗示股息和盈餘相等,我也曾寫過相關推導。而Gordon的前身「股息折現」模型(DDM),在金融中有重要的作用,尤其當大家試圖描述股息和股價的關係時,相關的反駁和修正就變得很熱鬧。另外關於計算股息和股價的關係,各位朋友可以參考Miller的"Dividend Policy, Growth, and the Valuation of Shares",這篇文章在金融和經濟領域很知名,也宣稱股息不具有特殊意義。
不過,我就喜歡看後人挑戰既有學說。
Hameed等人的"Preference for dividends and stock returns around the world"反駁Merton的觀點。他們認為在1990年到2018年間,透過收益的cross sectional分析公司的規模、PB、動量、反轉、市場、特殊波動性和資產增長以及股息,在44國範圍內針對全球和區域風險調整後,配息公司比非配息公司報酬好了0.54%.
這下子,又有人坐不住了。 《因子投資:聰明投資者長期操作的金融理論》的作者之一Larry Swedroe就在Alpha Architect寫了一篇"Should investors be indifferent to dividend impact on stock returns?",討論了CAPM和FF3因子之下的股息Alpha,並且比較加入盈利因子與否的差異。他認為在這些因子模型之下,股息並沒有特殊解釋能力。
這種稍微改變一個細節就能讓結論翻案的例子不少,像是Gray等人的"Enhancing the Investment Performance of Yield-Based Strategies"就認為在FF3因子模型之下,股息沒有顯著Alpha,所以它們改變了股息的評估方法和策略,包括殖利率(DIV)、股息加回購報酬率(PAY1)、股息加淨回購報酬率(PAY2)和股東報酬率(SHYD)四種。他們用新的數據呼應過去的既有發現,證實殖利率不是好的投資參考指標。有趣的是,他們也發現是否加入金融股會影響高股息策略的報酬。最後,在股息和淨回購之外加入了債務償還因素之後,他們得出最高的年化績效和FF3之下的Alpha.

同樣從數學模型描述股息和投資的獲利來源,Chaves等人的"Rebalancing and the Value Effect"就是很好的一篇。他們考慮成長和價值兩種因子,發現「再平衡」以及從高報酬價值股轉移到低報酬成長股,會降低投資組合中股息的潛在增長性。而再平衡在幫價值投資組合提供股息來源的同時,也侷限了成長投資組合的發展空間。

Resendes等人的"Valuation Beta: Addressing Inadequacies of Book to Price with Intrinsic Value, Stewardship and Leverage"中,也提到股息貼現模型的應用,並試圖把Alpha和Beta分開。
他們提供了七個改進重點。
1. PB並不能穩定的衡量內部價值,而藉由內部價值和PB之間的分類誤差,我們可以找到二十年來特殊的樣本外Alpha.
2. DDM促使FF3轉向FF5,但整體框架仍不完整。由於FF模型對於負成長因子有偏好,因此曲解了能創造股東價值的增長因子。
3. 基於內在價值扣掉淨值部分的因子,事實上準確描述了盈利因子和財富增長的動態相關性,而且將單年盈利狀況當成定價因子。
4. DDM推導而來的高盈利和低成長偏好,側面佐證了能讓股東領取金流的股息因子。換句話說,股息因子能消除盈利和成長因子的冗餘,同時又因為繞過公司治理中的代理問題,可以直接捕捉管理者的風格屬性。
5. 淨值的前後差異很大,而在樣本外,我們對槓桿的直接測量就包含了淨值因子。
6. 融合了超額內部價值、融資報酬率和槓桿的估值資產定價模型,比其它競爭者有更高的cross sectional解釋能力。
7. 主動投資人應該利用內部價值選股。忽略估值Beta和管理Beta的因子策略並不完整。至於與被動投資有關的負Alpha,會進一步遠離零,而且比基於估值的資產定價模型更有意義。

現在,如果考量到時間因素,事情會很好玩,
Brzeszczynski等人寫出了"Dividend Yield Strategy in the British Stock Market 1994-2007",認為高股息策略長期來看能戰勝大盤,而短期內無效。從1994年到2007年,前10高股息的組合能夠不太穩定的跑贏市場,平均年化績效是相應市場的四倍多。這個結果已經考量到了交易成本、稅務和風險,所以對於投資人有重要意義。換句話說,高息策略短期內回報會有很大差異,但長期有利可圖。至於為什麼會有長短期差異呢? 根據Fama and French的"Dividend Yields and Expected Stocks Returns.",他們解釋了隨著時間拉長,股息能提供更好的報酬波動解釋能力。具體而言,回歸分析時,當報酬具有高度正自相關性時,報酬波動增長會相對更快,這也讓股息合理成為因子分析的一個原料。
根據Maio等人的"Dividend Yields, Dividend Growth, and Return Predictability in the Cross Section of Stocks",他們認為股息的預測能力會隨時變化。對於小型股而言,股息增長的可預測性決定了殖利率,不過對大型股,尤其是長期來說,這種預測力完全和報酬率的可預測性有關。價值股的特性和小型股類似,而成長股殖利率則同時受到長期回報和股息增長兩個因素的預測力影響。

b: 比例係數
f: 無風險利率
d: 股息成長
r: 報酬
dp: 殖利率
那麼,為什麼時間和預測性有關呢?
在40年前,學界普遍認為股票的長期波動,取決於基本面資訊的波動,因為這和未來現金流有關。可是Shiller的"Do Stock Prices Move Too Much to be Justified by Subsequent Changes in Dividends?",徹底改變了眾人的看法。簡單來說,無套利定價下,目前的股價等於對基本面的預期,也就是未來股息的折現,而這些變動來自股息和隨機折現因子。現在,基本面(折現)=誤差+歷史價格,又由於估計誤差和歷史資訊互相獨立,也就是無相關性,所以可以把兩邊簡單取方差而不用考慮相關係數。這時Var(基本面)=Var(誤差)+Var(價格),又由於方差一定非負數,所以我們可以知道基本面方差會大於等於價格方差,也就是「基本面變化會大於價格變化」。但,Shiller又發現,真實狀況剛好相反,因為價格變化遠大於基本面(折現)的變化。事實上,不管是股票或債券,價格都有短期隨機、長期「均質回歸」的特性,白話文就是長期比短期好預測,也就是說,價格變化比基本面變化還劇烈。

最後,我放一篇直接開幹的文章,來自Hou等人的"Which Factor",我建議各位讀者朋友去讀原文,可以發現從主文到註解都充滿研究的「熱情」。Fama French 5因子廣為世人所知,而q⁵也不惶多讓,他們之間的競爭和火花非常精彩。

P: 市值
B: 淨值
E: 期望值
Y: 淨利
r: 報酬率
與Fama等人推出的負相關不同,Hou等人認為使用單期報酬率時,從DDM應該推導出預期投資因子和預期報酬的正相關。他們也指出,Fama等人是誤打誤撞的利用了他們宣稱的負相關來組件投資因子。換句話說,這個從股息貼現模型下手的文獻,從源頭直接撼動了FF5的學術地位。再講下去,就變成因子之戰了,如果各位有興趣也歡迎自行比對。
寫到這裡,如果妳覺得意猶未盡,我還有最後的一點狂式感想。
我在《穩定致富》的書末薦書曾提及Wayne Ferson的"Empirical Asset Pricing Models and Methods",其中就有隨機貼現因子。
如果把隨機貼現因子融合消費資本資產定價模型(CCAPM),從行為金融和隨機控制的角度切入,妳可以發現公司到底要發多少股息,是一個非常有趣的題目。
例如「配息最佳化」,就涉及隨機微積分、奇異控制和動態博弈。
簡單來說,如果你認為股價來自未來折現,那麼就要考量一些變數。
1. 股價本身會隨機變動。
2. 少發一元股息,就多一元能投入研發。
3. 股息沒辦法天天都發,會有時間間隔。
4. 要考量流動性。
這種消費、股息金流和資本成長的問題討論(希望拿到最大的報酬總額),持續了超過50年,而目前廣泛出現於應用數學、保險和精算領域。
例如Azcue等人的"Optimal dividend payments for a two‑dimensional insurance risk process",就討論了二維變數下,可用資金呈現Poisson分布下所需配息的最大下界。

其中

Straehl等人寫的"The Supply of Stock Returns: Adding Back Buybacks"也提到,股息配發可能受到總體經濟和股息平滑化的影響。
因此,下次聽到想要預測股息的配發比例時,不妨三思。
這從不是一個簡單草率的決定,而預測真的那麼簡單嗎?
我喜歡把事情說清楚。
針對一個問題的研究,或許不造成投資行為的任何改變,可是卻能讓自己更靠近真相。
從這些前人吵架中,我們可以看出股息本身有特殊影響力,而從行為金融和因子分析的角度來看,我們都能得到合理的解釋,同時還有一些異象值得討論。
但是,這些都是建立在明瞭會計準則的前提下,否則一切白談。
DDM到底能不能用?
把股息當成天降禮物的市場情緒如何影響報酬?
高股息股票和投資人實際承受的代價是你要的嗎?
這些問題都很有趣,我也歡迎各位提出指正。
前提是,先把左手換右手這個最基本的觀念釐清,才有討論的意義。
話說回來,如果妳發現我講的內容,似乎未曾出現在妳的高股息老師口中,那也不用緊張。
神棍遍地是,妳聰明了,他就窮了。
買個006208沒那麼丟臉,存VT/BNDW的也可以讓你安心睡覺。
我是狂徒,如果看完文章有任何質疑,請直接提出 :)
參考文獻放在 B1

「股票新手懶人包」計畫需要更多創作者的幫助
有興趣加入計畫的創作者,請洽詢留言區的股票小天使👏