
指數投資「不會讓妳翻身」,這就是事實。
身為科學投資者,我寫這篇文章是來摧毀迷信的。
如果你是指數投資信徒,剛好可以趁這個機會拋棄幻想。
當然如果你是老讀者,大概也很習慣批判性思考和內容識讀。
這裡的「指數投資」,採用的是坊間流行定義,即被動追蹤公開市場股票大盤指數,具體手段為長期、分散、低成本的持有投資組合。
(至於基本教條派或是世俗派的定義,我暫且不管,反正就是被動投資的範疇。)
什麼是「翻身」呢? 這個判斷比較主觀,我定義為相當程度的階級躍遷。
近兩年,全球最窮國家的GNI(平均國民總收入)大概是200美元,世界首富一年賺了約2000億美元,兩者相差十億倍。
考量這個差距,我將全人類分成三大階級,每一階級都相差1000倍。
因此只要你的財力增加1000倍,我就視為階級躍遷或翻身。
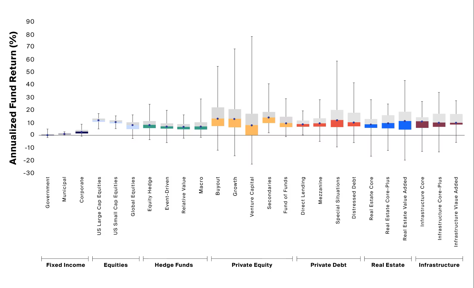
每個資產的成長性不一樣,例如股票通常都能贏過債券,債券贏過現金。
股票大盤長期的年化報酬大概在7%到9%,平均的8%是合理數字。
通貨膨脹會隨著時代背景和計算方式不同,不過我們也可將2%當作基準。
也就是說,利用指數投資可以輕易的對抗通膨,平均每年的購買力約增加6%,且持續累計。
事實上,被動投資可以讓妳穩定致富、過更好的生活、省去大量時間精力、躺著就贏過坊間的絕大部分流派......這些特性不用我贅述。
但是如果回到本文主題,你就會發現它無法幫自己實現「階級躍遷」。
如果按照上一段的定義,每年6%的財力增長,要何時才能累計到1000倍呢?
答案是120年,大約是清朝光緒年代至今。
對,妳還想被翻身的話,可以洽詢撿骨師。
「狂徒,只看單筆金額不準,如果考量收入呢?」
收入確實是另一個增加資產的來源,事實上我還分享過相關程式、表格,計算達到目標增長額度的所需時間,但是在此處的意義較小。
原因是,無論一個人收入多高,只要跟隨同一個市場大盤,資產收入比率相同,那他要將財力翻倍的難度就都一樣。
例如A月存30萬,資產500萬,那按照剛剛的算法,他要翻身到50億(等價購買力),需要73年。
B月存3萬,資產50萬,他要翻到5億,同樣也需73年。
另外,在估算的時候,妳當然可以調整數值,例如報酬率、通膨率、投入比例......等,算出更好看的數字,但這並不會改變無法翻身的本質。
就像若你覺得73年太長,也可以自己改定義,說資產1元到1000元,幾天內就翻身了,那也是你的娛樂自由。
然而,我不是要討論121或119年、翻身的定義是999還是1001倍,我是要透過數字化讓各位感受到資產成長率的影響。
「狂徒,我不用翻身啊,生活過好就可以了。」
每個人看到「翻身」的時候反應都不同,先排除已經跨越的朋友,有些人會覺得還有一段距離而繼續前進,也有人直接放棄,而這就反映出能力、上進心和人生價值的差距。
也正是因為這些差距空間存在,才讓世界更為公平。
大家的財務目標不同,有怎樣的目標就有怎樣的需求,可以參考我前一篇發文。
不過,如果你想要引導出「既然自己不用翻身,那別人也不用關心怎麼翻身」的結論,那就錯了。
這就像我在說牛排的烹飪有哪些步驟,你卻說吃素也可以;我在討論中文字怎麼寫,妳說寫英文也可以;我在談游泳技巧,你說你走路就好。
當然都可以,不過這完全和本文無關。
話說回來,大部分的人(至少據我觀察),確實也根本不會想翻身。
具體原因可能不像妳想的這麼直觀,即普通人就是想過平凡的生活,而是潛意識中對於風險的恐懼,導致不敢追求需要承受風險的報酬。
以「安心就好」存股教派為例,股息的左手換右手或前腳換後腿,並不會在財務上帶來額外收益。
可是若以效用函數來看,這些投資人在拿到現金的同時,相當於降低槓桿,而且認為落袋為安的一元,比風險市場上的一元還要值錢。
換句話說,當資產折現的時候,若一開始因為衝動,以低於心理風險對應利率的預期報酬率投入,那當然會覺得投多了,最好拿一些回來。
投資哲學和心理舒適,確實是個人投資的有趣領域。
不過本文主要談論資產本身的特性,以及不同策略對應的風險與報酬,因此暫不詳述。
「狂徒,會投胎才能翻身吧?」
這是一句錯誤的話,錯在定義和歸因。
詳細的說,如果我定義翻身是身價成長1000倍,那這和原始的資產、原生家庭本身並無關聯。
既然我已經把金額差距對數化和標準化了,那就不用考量初始資金規模,因為十萬到一億是一種階級躍遷,百萬到十億也是階級躍遷。
事實上這和1000倍也無關連,妳自己定義的任何數字下,投胎到哪裡所獲得的資金,都和目標倍率無關。
如果要更嚴謹看待的話,對數化也有不完全公平的地方。
因為最窮的那群可能根本沒有啟動資源,生活堪慮、無法發展;而最富的那群則沒有足夠的後繼可吸收資源,世界支撐不起他們的理想。
不過即便如此,放在同樣的檢視標準下,指數投資依然無法讓人翻身。
另外,有些人喜歡將財富和成長差異過度歸因於「運氣」,這種不罕見的心態,也是貧窮心理學的研究中,方法論的檢討和改善環節之一。
"Poverty in developing nations: a cross-cultural attributional analysis"中發現,有錢人喜歡歸因「內部化」,即自己有錢是因為個人特質。
但作者問窮人為什麼貧窮的時候,他們喜歡歸因「外部化」,也就是怪社會結構、怪運氣不好、自然命運差、社會不公平、政府爛......等不可控因素。
他們反而不愛承認內部原因,即自身能力、努力......等可控因素。
"The Individual, Society, or Both? A Comparison of Black, Latino, and White Beliefs about the Causes of Poverty"也有類似的發現。
弱勢群體喜歡將自身的困境歸咎於外部社會因素,但有趣的是,他們如果翻身成功,在原先的外部化傾向之外,又喜歡歸因內部化了。
這種「雙重意識」被解釋為心裡保護和激勵機制,即「因為我努力,所以歹竹出好筍,我好厲害」。
過猶不及,在研究貧窮原因的時候,學者需要排除掉這些受調查族群本身的偏見,以求盡量客觀。
不過以個人角度,我覺得多關心自己能增強的部分,才會讓生活更好。
我們無法改變自己的出身,但我們可以決定自己的人生。
「狂徒,雖然被動投資獲利不多,但是其它的流派更爛,我也只能這樣做。」
確實,你可以跟我說市面上有多少主動交易的書籍是垃圾,我也測過很多無效的策略。
就像妳可以一直活在舒適圈內,安慰自己已經很厲害了,雖然平庸,但至少還可以嘲笑更爛的投資人。
不過既然我是狂徒,你也清楚我寫文章的重點從不是這個。
妳可能好奇,實務上要贏過大盤的具體難度。
長期來說,要靠實力而不是運氣贏過指數,在台灣要PR70起,在美國最少要PR90
所以我才會說,如果你什麼都不知道,直接被動投資就是最佳的方法,確保勝過大部分的人。
至於那些實力更強的人呢? 當然就有更多的「武器」可以選擇。
各國的市場有效性不同,但都不是100%,因此投資者有不同的空間。
Vu L. Tran et al.就用時序自相關性和信賴區間來量化描述市場的效率,D. B. Madan et al.則測量各品種和國家的套利空間,進一步比較市場有效性。


AQR老大最近也在JPM上發表了一篇"The Less-Efficient-Market Hypothesis",描述市場效率逐漸下降的現象。
所以就算你身在高效率的公開市場,也需要尊重理論和現實的差距。
與其相信所有人都無法打敗市場,不如思考自身的能力屬於市場中的哪個等級。
綜上所述,如果你跟隨股票大盤,並將可用資金都投入,可以預期一輩子「就這樣了」。
這並非誰對指數投資的詛咒,而是它本身的天然特性。
投資人希望最大限度的跟隨指數,消弭和大盤的追蹤誤差(有時稱為風險),進而增加確定性。
有些人甚至在股票被動投資外,透過跨資產配置,進一步強化這些特性。
如果你還是抱著翻身或階級躍遷的幻想,那本身就和被動投資的理念背道而馳。
以防我講了這些妳還聽不懂,那我用更簡單的描述方式。
所謂階級躍遷就包括提高自己的相對位置,所以要爬得比別人快。
而被動投資的目標,則是跟隨大家的平均成長,這兩者是相反的。
游泳圈可以讓你不溺水,而不會讓你游得更快。
我可以跟妳說一百個被動投資的好處,我還寫了本書。
但是,生活變好,不代表妳能翻身。
如果你認為指數投資能讓你翻身,這就是個笑話。
更可能的,站在上述階級定義中,你永遠無法跨越那條貧富的鴻溝,也只能停留在階級陷阱裡原地踏步。
在接下去講之前,我先插播「迷信」和指數投資的三大相關流派。
第一種,科學派,我建議的派別。
科學家會告訴你,市場上有哪些被觀察到的特點(例如異象),並提出假說、解釋背後的可能原因,經過反覆嚴謹的驗證後,確認一個新的理論以及辨析,也隨時接受新學說的挑戰。
在投資領域,科學投資注重怎樣提高整體優勢,包括報酬率和風險。
因此它們的指數投資只是眾多工具的其中一環,而在資產配置方面容易有更好的發揮(這已經超出指數投資範疇),像是最大散度/最小波動,等權/加權、槓桿率......等。
另外像時序分析、尾端風險(及衍生品定價)若也涉獵的話,已經相當接近學業界的入門標準,因此「兼容性」很高。
注意這裡的兼容不是指隨波逐流,而是由於具備完整的理論和知識框架,因此對坊間理論都得以輕鬆解釋。
例如價值投資和指數投資,同樣能用因子描述。
可想而知,由於大量吸收前緣知識,這些人基本上也不看坊間的書,因為往往別人花整本書解釋的內容,在圈子內(論文、期刊)只是一個字或一個公式。
像是我說過的軼事,市值加權是否為最優組合? 這只是簡單的Beta優化理論而已,但放到普通投資社群卻可以吵半天。
有趣的是,通常這類投資人不是資產最多,就是智力最高,因為它只要提升個0.01%的績效,就足以覆蓋所花的時間成本。
(也可以倒過來說,資產/智力不夠的,也不會這麼閒。)
第二種,懶人派。
因為不想花時間和動腦而被動投資,是我也認可的投資哲學。
大道至簡,用最小的成本獲取最大的性價比。
最適合剛進入市場、沒有什麼資金的朋友。
唯一需要注意的是,可能會誤入存股派、小範圍基金定投派的陷阱,不過整體問題不大。
第三種,迷信派。
這種人腦中已經預設「指數投資最好」,知識缺乏但信仰堅強,也有些人稱之基本教義派。
偶而會有自以為理性的人出現,但總是拿過時和半套理論來攻擊或嘲笑其它流派,藉此掩飾自己的懦弱和無力。
像是市場效率,本身確實和被動投資有些關係,不過信徒容易見獵心喜而鬧笑話,我也寫過一些文章糾正。
與科學派不同,為了鞏固信仰,他們會做一些讓溝通效率降低的事情,而不是增加討論機會。
例如單方向傳遞資訊(而非雙向溝通)、一言堂(提出不同意見者先剔除)、純粹嘲笑其它流派(這完全無助於討論)......
結果幾乎就是一生安於現狀,在死水中無所作為,卻自以為高人。
當然這只是大致分類,一個人跨派別也很正常。
如果你或朋友是指數投資人,想測試一下投資理念傾向,可以觀察看到這篇文章後內心的變化。
一開始就覺得不舒服、想反駁,然後再來找理由的,想要知道並攻擊文章作者流派的,就是迷信派。
覺得完全沒差,反正我說我的,你投你自己的,就是懶人派。
聽完覺得有道理/沒道理,也有新的想法,想要討論和證實知識本身的,屬於科學派。
不過既然也看到這裡了,我相信妳應該有一定的好奇,而且對於前面內容還能接受,也看得懂。
因此,現在回到指數投資和市場效率的話題,我們可以進一步討論真實世界的投資策略和相應證據。
與傳統金融假設不同的,這個市場上除了沒有完美的效率之外,投資人之間也都不一樣強。
換句話說,報酬有顯著的「異質性」,而這就代表「透過努力有機會提高報酬」。
根據國際貨幣基金的研究報告"Heterogeneity and Persistence in Returns to Wealth",有錢人會更有錢。
所以,想要賺更多的錢,我們只要努力變有錢就好。
但顯然這個結論太膚淺,因此論文本身也一層一層的找原因,並在排除這些因素後繼續深挖。
有錢人更有錢,是因為他有錢,但為什麼?
把金額當成要素後,他們發現,因為投入風險市場的「金額」比較多,所以回報也更豐厚。
那窮人怎麼不也投一樣的金額呢?
很難,因為通常有錢人可以將更高的資金「比例」放入市場冒險,而其它人為了流動性,必須放在保守或短期市場。
那如果將風險部分比例也拉到同一標準,有錢人還有優勢嗎?
依然會有,研究發現富人的「風險調整後收益」更高。
為什麼風險調整報酬更高呢?
作者指出,因為富人在投資組合中加入了一些私募股權,這帶來更高的預期報酬,同時也因為分散性而降低風險。
這時候有人就想了,那窮人如果也投入這些資產,完全複製比例,會不會就能追上了?
答案是無法,而這就是所謂資產報酬的「異質性」。
不論是風險資產或保守資產,有錢組的報酬都贏過窮人組,所以再怎麼搭配,優勢差距都存在。

那什麼造成這些差距?
論文做了對照實驗,指出幾個主要因素,包括「投資經驗」、「教育」、「財務智商」和「資訊優勢」。
換句話說,撇除初始資金的影響,如果將心力花在提升這些基礎能力上,就有更高的機會增加自己的報酬。
比起無法複製的因子,現在投資者也有努力的方向。
我知道坊間有些笑話,關於「努力是否能打敗大盤」,相信看完這些論述,妳也有自行判斷的切入點。
這些因素似乎都和「聰明」有些關係,包括投資理念的完善、所受的高等教育、財務知識的獲取和優勢資訊的應用。
而呼應前面我對迷信教徒的批判,我再放另一篇論文,側面描述智商和迷信的關係。
為什麼迷信的人比較笨呢?
學界普遍的觀察現象是「宗教信仰和智商負相關」,而正反方都提出了相當多的假說和證據,試圖解釋或辯駁。
根據"Why is Intelligence Negatively Associated with Religiousness?",在相繼排除了宗教非理性假說和文化中介假說後,作者們改良了草原智商交互作用假說(草原象徵演化)。
如果宗教是一個人類進化的象徵,那本質上就是一種本能(這呼應了迷信相關研究的直覺反應vs理性思維);相對的,「智力」應用在理性解決問題時,代表的是克服本能和保持求知欲,因此也對非本能、直覺的發展有開放態度。
注意,這些論文本身都是在說宗教,不過我的重點在於迷信,屬於宗教信仰定義的一個分支。
覺得有點耳熟嗎?
前段科學投資派別中有很多精神,確實符合也要求相應定義的高智商,而迷信派則普遍缺乏這些能力。
綜合來看,這些能增加報酬的原因,都有相當程度的彈性。
或許投資者本身的初始知識有限,但如果可以保持開放的態度,吸收新知,也願意用理性思考取代直覺式的反應,就能夠得到優勢,而這也佐證了教育和財務智商的決定性。
相似的,投資經驗會隨著時間和操作次數而累積,如果配合紀錄和迭代,那麼進步得會更快。
對於資訊優勢而言,或許歸根究柢還是和財力有關,但至少你可以決定要不要在這領域和別人競爭。
因此,比起漫無目的的努力,或不知道從何下手,有方向的投資人能夠有效累積優勢,並提高競爭力。
在進入下個章節之前,我要拉高投資思維的層級,以戰略層面來描述被動投資。
我粗略把投資人分成贏家和輸家兩個族群,如果你要最大化自身的報酬,應該採取有效的攻防策略。
當你發現自己在一個領域有優勢時,可以想辦法將差距拉大;而如果發現有劣勢、追不上,那不妨採取守勢,也就是盡量複製、搭便車。
被動投資的好處之一,就是可以低成本的跟隨市場強者,因此無論你是PR1還是PR50,都可以得到前段班的績效。
分散投資是為了減少看錯單一公司或板塊的風險,長期持有是要拿到資產的平均成長,而控制成本就是要縮短自身組合和大盤的誤差。
因此即使你處處落後,而市場也不這麼有效,指數投資也能保護你的資產成長。
相對的,如果你本身就已經有足夠的能力,那當然可以為自己爭取到更高的報酬。
當妳可以讓人生更精采、更有意義時,何必活得平庸無趣?
那麼問題來了,指數投資無法讓你翻身,其它的投資就可以嗎?
哪類型的投資人,有機會實現階級躍遷呢?
讓我們先了解「條件機率」,也就是從特定結果回推,估算某個原因的發生機率。
對於投資人而言,每一種目標報酬率,都有對應條件機率最高的方法,而將這個因果鏈順著說就成了「勝率」。
如果妳的目標是一年1%,那銀行存款是最佳解;如果妳要5%,股市大盤ETF是好的工具。
對於20%的報酬率,按照主動投資的方法,成功率可能只有30%.
但是你別忘了,此處指數投資的成功率是0%
因此基於此指定報酬率的條件機率分布,你若依照勝率決定,應該選擇主動投資。
這些是純粹的統計分布,無關於我自己創了什麼幫派。
更簡單的說,指數投資會讓你無法翻身,因此想要翻身,你不該指望指數投資。
當然,妳可以硬凹,說身價兩倍也叫翻身,在這範圍內指數投資勝率最高。
基於機率這是對的,但沒有什麼意義。
妳也可以拿其它垃圾出來比較,說坊間KD/存股/籌碼的成效很爛,不如被動跟蹤指數。
這是對的,我也寫過,但一樣沒什麼意義。
如果你的目標是科學的增加資產,就不用理會基本教義派的迷信精神。
「狂徒,我想要階級躍遷,我該怎麼辦?」
我相信這是觀眾朋友一路讀到這裡的心聲,而我會儘可能的清晰闡述。
如果你還卡在「這樣做也不保證能成功」,那我再說一次。
世界上沒有100%可以翻身的招數,妳也不見得能照著做。
但如果妳已經有個目標,就應該使用該目標之下最容易成功的那種方法。
籃球比賽到最後關頭,如果分差很小,有分數優勢的隊伍喜歡採用拖延戰術,因為只要拖到比賽結束,他們就贏了。
落後方為了破局,通常會故意輕微犯規,為什麼?
乍看之下,白白送了對方罰球機會,而己方又只能倉促投球,結果並沒有期望值的優勢。
可是,以目標為勝利的條件機率來看,這樣做可以馬上轉換球權,運氣好的話對方可能罰球還沒中,所以是扳回劣勢的勝率最優方法。
綜觀翻身途徑,最常見的因素是文中提過的「運氣」,例如天上掉下來一顆1000克拉的鑽石,就落在你面前,那你大概發財了。
或是窮困潦倒的妳到彩券行,結果不小心抱回了頭獎,也可以翻身。
但這種可遇不可求的因素,並沒有參考意義,就當我開個玩笑。
想要憑藉「實力」翻身,就需要更快的成長速度,同時策略要有「可複製」的部分,而你有不同的選項。
對於風險和報酬,有公平交換類的,像是槓桿/因子/優化交易頻率等。
也有不公平交換的,像是PE/VC/Angel/量化等。
還有近身肉搏的,像是HFT/內線/政治/M&A等。
以股票的風格「因子」為例,我參考Kenneth R. French的"Data Library".
美股長期的投資因子約有年化13%,而利用規模、獲利能力和投資等三因子將美股分類持有後,年化績效達到18%.
這可不是短期資料,而是諾獎教授們超過一甲子的回測結果,並更新至今,妳也應該親自驗證。
如果加點因子動量,並採用知名的200MA進出,再配合兩倍槓桿率呢?
以月度資料而言,我做出了超過33%的年化績效。
有在看學界資料的妳應該能意識到,因子動量、200MA和槓桿率,都分別有許多對應的研究,並不是我自己瞎編,因此還有優化空間。
事實上很多量化自營公司一直在採取類似的作法,只是手段更嚴謹,規則也更多。
另一方面,量化投資有機會賺到更高報酬嗎?
雖然市面上可供觀察的案例較少,畢竟大家都盡量保密,但我們可以從少數公開的資料反推。
從薪資和獎金結構切入,量化自營多使用自有資金,而非賺取客戶或投資人傭金,因此比較接近真實狀況。
量化私募有管理費和績效獎金,因此只部分反映出操盤者和策略的實力,不過至少比公募基金好。
公幕基金的規模最大,而通常管理費就足以養活公司,不太需要顧及績效。
從利益角度來看,公司努力在打廣告和吸引散戶之下,反而賺得比提升投資報酬還快。
這種利益錯配的現象,不但為業界詬病,也成為坊間的揶揄對象。
最有名的一則故事,大概是「客戶的遊艇在哪裡?」
以文藝復興為例,那些對外開放的基金,表現並不十分突出。
但是已關閉入口的「大獎章」旗艦基金,整整30年間,費前年化收益66%,費後實際39%
相似的,量化自營公司Jane Street,開給大學「實習生」的基礎年薪,不含獎金就是台幣800萬起。
而Quadrature Capital大量招聘,2024年給一百多位員工的年薪和獎金,每一個人平均就超過台幣一億(2023年每人超過1.2億),具體數字在提交給英國政府的公開財報上。

這些機構或基金都只用自有資金,不接觸民眾和外部投資,純粹靠本事在市場上吃飯,因此妳可以自行推估量化是否能賺錢。
既然此類量化公司如此精明,它們會拿自己的錢開玩笑嗎?
再來看看二級市場之外的世界,也就是廣義私募股權的部分。
長期而言VC的「平均」內部報酬多高?
Cambridge Associate歷年統計VC指數,相當於創投界的市場大盤,結果都是年化20%左右。
GSSN則公布,他們調查的200多個創投對象,長期平均內部報酬有53%,而且成功率和換輪的速度也提升。

換句話說,透過組織性的輔助和因子分析,讓投資人有更高的平均報酬、更佳的流動性和更低的失敗風險。
有些人會批評,VC因為犧牲了大部分人的報酬,拉大贏家和輸家的差距,才能換來更高的平均收益。
"VC Fund Financial Performance: The Relative Importance of IPO and M&A Exits and Exercise of Abandonment Options"中,作者結合了不同資料庫,統計VC的報酬分布。
後30%的基金,績效為負,前30%的VC基金,IRR開始超過20%,而其中前10%的基金IRR達到81.1%.

也如同CAIS的繪圖所示,VC的四分位距和散度都最大,而中位數偏低,乍看之下是個不好的投資方式。

不過,越早期的投資,本身流動性風險和偏度就越大,這並非奇怪的現象。
況且也就是因為有這些風險,才配得上更高的報酬。
2005年,知名學者Cochrane(我推薦過他寫的資產定價書)的"The risk and return of venture capital",提出了更精確測量VC風險和報酬矩陣的方法,讓幾何平均報酬從以前算法的108%降到更貼近真實的59%.
而以2014年DeGennaro et al. "Expected Returns to Stock Investments by Angel Investors in Groups"為例,在408個退出的案例中,平均年化超額報酬(net return)約為70%,考量了時間、金流、分散等因素,也佐證了前一篇文獻。
如果更細分的話,縱使有接近四分之一中途失敗的-93%,依然有賣給其他投資人的每年44.7%報酬,也有交棒給其他公司的84.1%,以及最終成功IPO的94.3%.
整體的平均倍率為7.4倍,也包括了樣本中翻超過1300倍的案例。

目前由於資料庫較少、偏度較大、估算模型(尤其是基於傳統資產的指數模型)限制......等因素,每個學者和機構的統計結果差距都不小,但仍普遍贏過二級市場上的被動投資。
這也是我鼓勵創業的原因,雖然風險更大,然而經過多次、分散的嘗試之後,經常能得到真正改變生活的增幅。
就如同我在上一篇文章中提到的,當一個人的生活是種子/天使/ABCD輪/IPO時,就不需要將自己局限在二級市場上的被動投資。
「敲鐘」固然有文化和政治意義,但背後的商業利益和投資理念更為重要。
現在,我們來看看這些報酬率,對應要讓財力(扣除通膨)翻身1000倍的所需預估時間。
股票指數投資: 8%,120年。
投資風格因子: 13%,67年。
French規模、獲利能力和投資三因子: 18%,47年。
VC大盤指數: 20%,43年。
三因子動量、200均線和雙倍槓桿: 33%,26年。
GSSN統計創投平均IRR: 53%,17年。
Cochrane統計VC: 59%,16年。
大獎章基金費前原始報酬: 66%,14年。
DeGennaro等人統計天使投資報酬(假設無風險利率等同通膨率,下同): 70%,13年。
轉賣給其他公司的退出報酬: 84%,11年。
IPO平均: 94%,11年內。
還有很多不同的管道,我不一一解釋。
妳可以批評這些統計的方法和數據,也可以質疑各種時間和取樣上的偏差,這些論點都合理。
然而不管妳怎麼美化股票大盤指數投資,相比上述工具,長期就只有更差的報酬,以及更低的翻身機率。
誠然,每種投資的可複製性都不同,但如果你以階級躍遷為目標,就會知道各自方式的優劣。
20%的勝率可能聽起來很低,但永遠比0%還高。
在我認識的投資人當中,雖然最終把公司公開上市的比例相對低,但是每個人的財力都往上跳了一階。
相對的,靠指數投資翻身的案例,我從未見過。
寫到這裡,妳應該非常清楚,我對指數投資優缺點的看法,以及它讓人無緣翻身的事實。
身為浪人,我長年不在台灣,但多少耳聞網路投資理財圈的生態,我也知道為何指數投資是黑暗中的一盞明燈。
坊間有許多騙錢流派,尤其是先畫一個大餅,再趁機賣課的神棍。
昨天要妳買書看第321頁,今天告訴你好險沒buy,明天又說18%安心投資。
同時還有各類娛樂節目,有人說要裸奔、有人想看Maserati VS. Ferrari、有人宣稱要四千萬才能發言。
有點智商的投資人知道,這些看看就算了,畢竟妳總不會看了幾部芝麻街美語,就想去考TOEFL/IELTS,你也不會用手機玩了幾場狂野飆車,就覺得自己有本事開F1.
就是因為有浪費生命的盲目信眾,無法脫離知識和格局的限制,才凸顯出被動投資的優雅。
撇除流派間的恩怨和笑話,怎樣的屁股吃怎樣的瀉藥,怎樣的尺寸買怎樣的套套。
對於身家十萬元的朋友,我幾乎唯一建議指數投資,讓她義無反顧的投入。
而對於身家十億元的朋友,我談論的話題是資產配置、公司併購和聯盟、私募和另類投資。
一樣的狂徒,談不一樣的投資,會有衝突嗎?
問問自己,考試70分算好不好?
如果你本來0分,那當然好。
如果你本來100分,那當然爛。
怎樣的人適合怎樣的投資,相信不用我重複。
同樣我寫的一篇文章,每個人看到的內容都會不一樣。
維持科學理性的態度來檢視每種方式,遠比迷信式的直覺排斥還有意義。
妳可以選擇當一個乖的人,服從標準答案;你也可以一路調皮,開創新的模式。
這種特質就像磁鐵一樣,會吸引相似的人靠近,慢慢的形成社交圈。
因此,如果你跟我一樣沒什麼錢,也有想翻身的企圖,不妨多跟業界、商界的朋友接觸,多到各地走走,可以很快的瞭解這世界的遊戲規則。
當你看到的和聽到的多了,無形間視野和格局就會變得開闊,對於未來也會更有規劃和信心。
你幾歲?
妳有多少資產?
你想過怎樣的人生?
或許妳決定將大部份的資產都投入股票指數,這本身沒有對錯。
然而你也知道,你同時犧牲了創業的機會,以及突破階級的可能性。
建立事業投資複合體本身並不是容易的事,但從有錢變成真有錢,哪一次簡單了?
在這個瞬息萬變的世界中,累積財富和突破階級的可能,不限於個人努力,還涉及策略、眼光、吸收能力和持續成長的心態。
妳對投資報酬的期望、承受風險的能力和意願、決策後的結果......都不是與生俱來的天賦,而是實力的反映,也是堅持升級自我的動機。
有人喜歡怪罪運氣,抱怨自己命運和出身不好;有人宣稱自己「知足」以掩飾懦弱無能;也有人習慣逃避目標,以免屆時微不足道的失敗會擊潰自己。
有人希望改善自己的生活,客觀檢視自己的競爭力和目標;也有人喜歡持續成長,不會自滿於既有成就。
你想哪一種人? 自己心裡有數即可,因為只有你才是生命的主人。
台灣的棒球能打到世界冠軍,或許有運氣成分,但依然少不了球員的堅持、執行和毅力。
同樣的,財富不是偶然,而翻身也不是必然。
想要達成階級躍遷,妳就必須打破安逸,挑戰傳統思維,並利用一切可得的資源,創造自己的未來。
雖然大家都改變不了一些初始參數,但後天努力的妳還有大把機會。
提高學習的敏銳度,堅定有效率的行動,敢於冒險、勇於挑戰現狀,自然就離成功又靠近了一步。
不管妳要追求安心的錯覺,還是簡單「穩定致富」,或想挑戰「階級躍遷」,都應該清楚自己的方向。
不管你選擇坊間莫名其妙投資法,還是指數被動投資,或是我提到的因子/私募/VC/創投/量化,都該為自己負責。
市場如戰場,人生如遊戲。
有人活成了歹徒,有人淪落為騙徒,有人終於蛻變成狂徒。
妳昨天的習慣,影響了今天的判斷,而妳今天的眼界,將決定明日的人生。
你,準備好了嗎?
數位時代版本: https://www.bnext.com.tw/article/82021/savage-note-2025