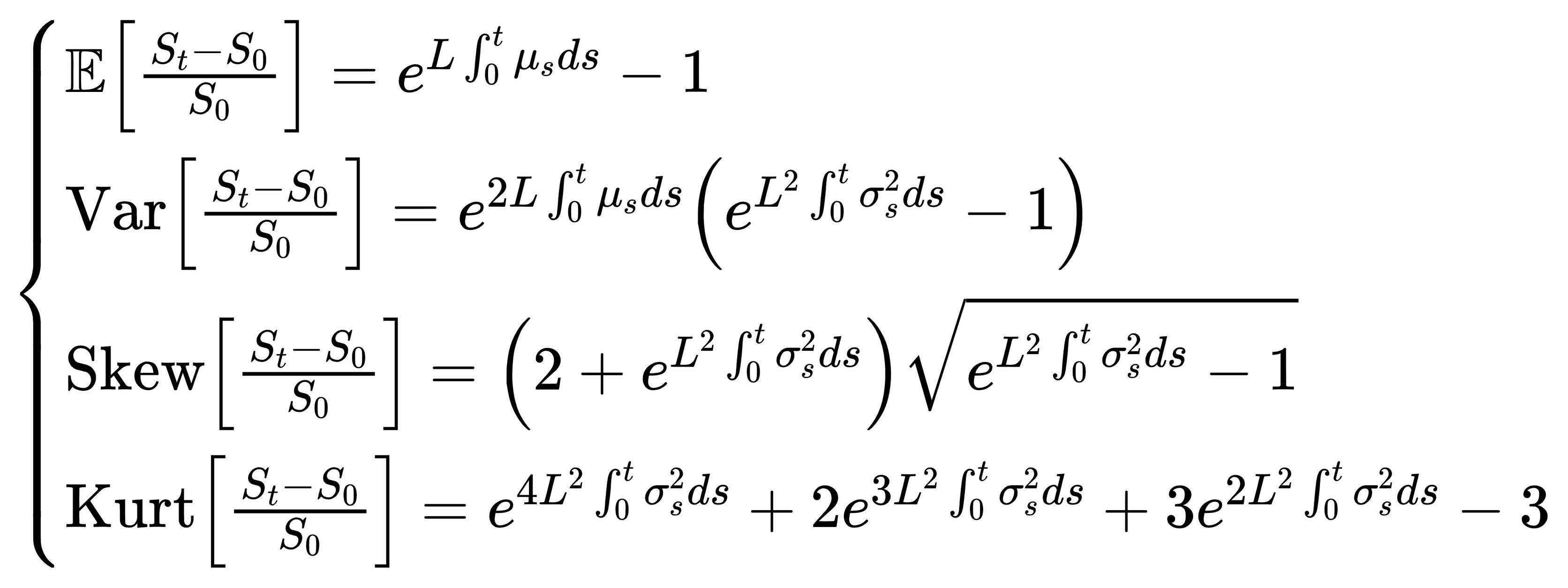
今晚,來點LETF
最近我把關於槓桿ETF的「風險」部分重推導了一次,改成高中生(沒學過統計)可懂的版本,包括常態分佈的機率密度函數、矩生成母函數和統計的前四階矩,剩下的中文解釋應該就快了。
剛剛找Daze的文章對答案,過關。
https://www.ptt.cc/bbs/Foreign_Inv/M.1619183156.A.D94.html
這周末晚上都顧聊天,現在可以好好睡覺了 :)
#狂徒投資
#槓桿投資


今晚,來點LETF
最近我把關於槓桿ETF的「風險」部分重推導了一次,改成高中生(沒學過統計)可懂的版本,包括常態分佈的機率密度函數、矩生成母函數和統計的前四階矩,剩下的中文解釋應該就快了。
剛剛找Daze的文章對答案,過關。
https://www.ptt.cc/bbs/Foreign_Inv/M.1619183156.A.D94.html
這周末晚上都顧聊天,現在可以好好睡覺了 :)
#狂徒投資
#槓桿投資

