除夕就是要讀書,是吧 Jin 槓桿指投Lab
剛從世界的盡頭走回來,我快速說個結論。
正常狀況下,分批定期定額(DCA)的Sharpe不如單筆投入。
但是如果波動相對於報酬很大,例如高槓桿的LETF,那麼分批投入的Sharpe會優於單筆投入。
換句話說,如果一個資產的LETF波動大,且「本身」最佳槓桿率是1.5,那領固定薪水的人,要投入超過1.5倍(例如2.0倍)的LETF才是最好的。
最經典的應用就是「複合槓桿」,像是用信貸、理財型房貸,分批投入「超高」槓桿LETF,有可能贏過最佳槓桿LETF的單筆。
(注意,這邊的贏過是指報酬更高,但波動風險更小。)
好,為什麼說世界盡頭?
我本來在看CFA教材,覺得折現的公式很蠢(直接假設波動不存在),所以回頭研究對有波動資產的定投,然後發現有很多關卡要闖。
第一等級,金融學生範疇,假設資產報酬波動是常態分佈,那麼價格就是幾何布朗運動,定投的報酬就是幾何布朗運動的積分。
第二等級,理工科範疇,從隨機微積分推出幾何布朗運動的積分,以及亞式期權。
第三等級,數學範疇,如果要描述這個報酬的機率密度分布函數和推廣,就會有幾種方式。
(作者都是博士或教授,這些方式/公式還加上他們的名字。)
第四等級,世界盡頭,已經到人類的知識邊界,所以只有一些零星的逼近和小範圍推導。
我在這個地方繞了一陣子,也用程式輔助證明,但始終沒有找到關鍵性的結論。
理論性的不行,我轉而找應用性的論文。
後來發現藏在我電腦已久的"A Continuous-Time Re-Examination of the Inefficiency of Dollar-Cost Averaging", 瞬間覺得很簡單。
雖然地球人對價格和定投背後的「數學」領域還未完全研究成功,但如果只是要描述DCA的特性,倒是小事情。
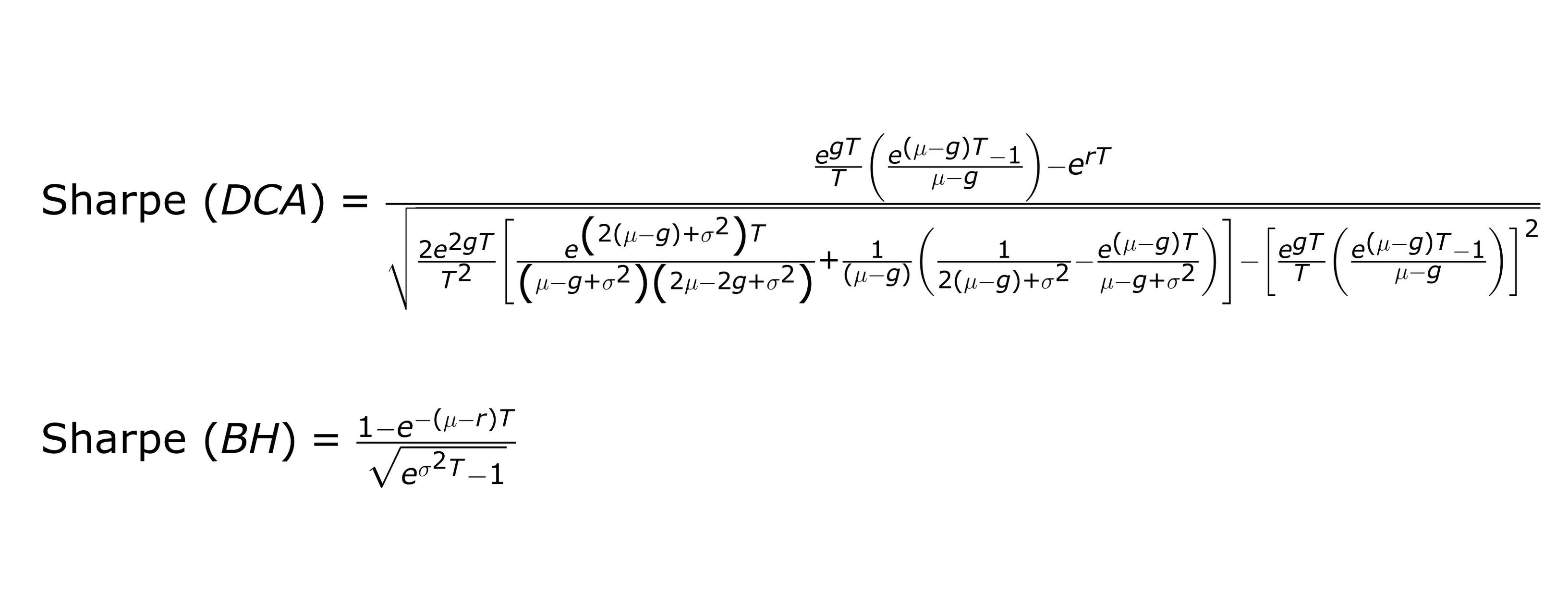
我把DCA和單筆(BH)的Sharpe寫出來。
e: 自然對數
g: 尚未投入的資金利率 (場外資產的成長率。如果是現金定投,則為現金利率,g=r。)
T: 時間或期數
μ: 股票平均報酬 (飄移率)
σ: 報酬波動標準差
r: 無風險利率
另外,對於「正常」波動而言,DCA相較於BH的Sharpe近似耗損率為-0.134[1-2.17(μ-r)T]
對於LETF的案例,目前我尚未找到文獻,也沒有深入研究,所以只定性描述。
不過相形之下,將原型資產換成LETF難度較小,畢竟我也曾用LogNormal的特性推導過它的報酬和風險,或許哪天我和Jin就寫出來了。
好,打完收工。
我要繼續去看很蠢的折現報酬了。
#狂讀投資
#槓桿投資
#定期定額
