來篇輕鬆的因子配置教學。
對剛接觸因子投資的朋友而言,因子投資主要有兩個步驟。
1. 找因子,包含建構、篩選和測試。
2. 把因子應用在自己的投資組合上。
其中分析因子的方法,以不嚴謹的視角,又可以分成三種。
1. 排序法,單一/雙重/多重排序,以及IC/IR排序。
2. 回歸法,相關的技術有PCA降維和正交化,以及Fama-Macbeth兩步法/Newey-West調整/Shanken調整等。
3. 機器學習法,職業玩家的必爭之地,模型很多,其中深度學習目前領先。
如果你只是想告訴別人自己在因子投資,或是妳想在台灣賣因子ETF,那最簡單的方法就是用排序法,然後直接用因子選股。
不過如果妳是認真的因子投資人,想融合資產配置和投資組合優化那一套,就會需要運用完整的因子投資體系。
想要最大化因子的優勢,排序<回歸<機器學習。
很簡單,排序法屬於非參數估計,回歸屬於參數估計且為線性,而機器學習能處理非線性資訊。
好,假設妳把因子提取出來了,要怎麼決定權重?
一樣,就是組合優化那套,只不過現在把資產變成因子。
妳想要前二階矩MVO? 可以。
RP/min var/Max diversity等泛風險預算? 可以。
加入主觀意見的BL/ABL或Bayesian based entropy pooling? 也可以。
在此結合ML? 當然也可以。
反正妳在資產配置怎麼玩,在這邊就怎麼玩。
再來,妳有因子和它們的權重了,然後呢?
傳統上(尤其排序法),會直接押入少數因子負載高的目標,有些人還會利用多空的方式,增強因子風格曝露。
不過嚴謹來說,妳需要讓自己的資產組合盡量接近因子組合,否則妳剛剛就是白忙一場。
因子映射(mapping)能夠將因子曝露轉換到資產類別上,當然也可以應用於個股和ETF.
陸續有人提出映射框架,不過我覺得說的最好的是David Greenberg, Abhilash Babu, and Andrew Ang,優化同時也能求出資產的比重。
(其中Ang寫過因子配置的書,我也推薦過。)
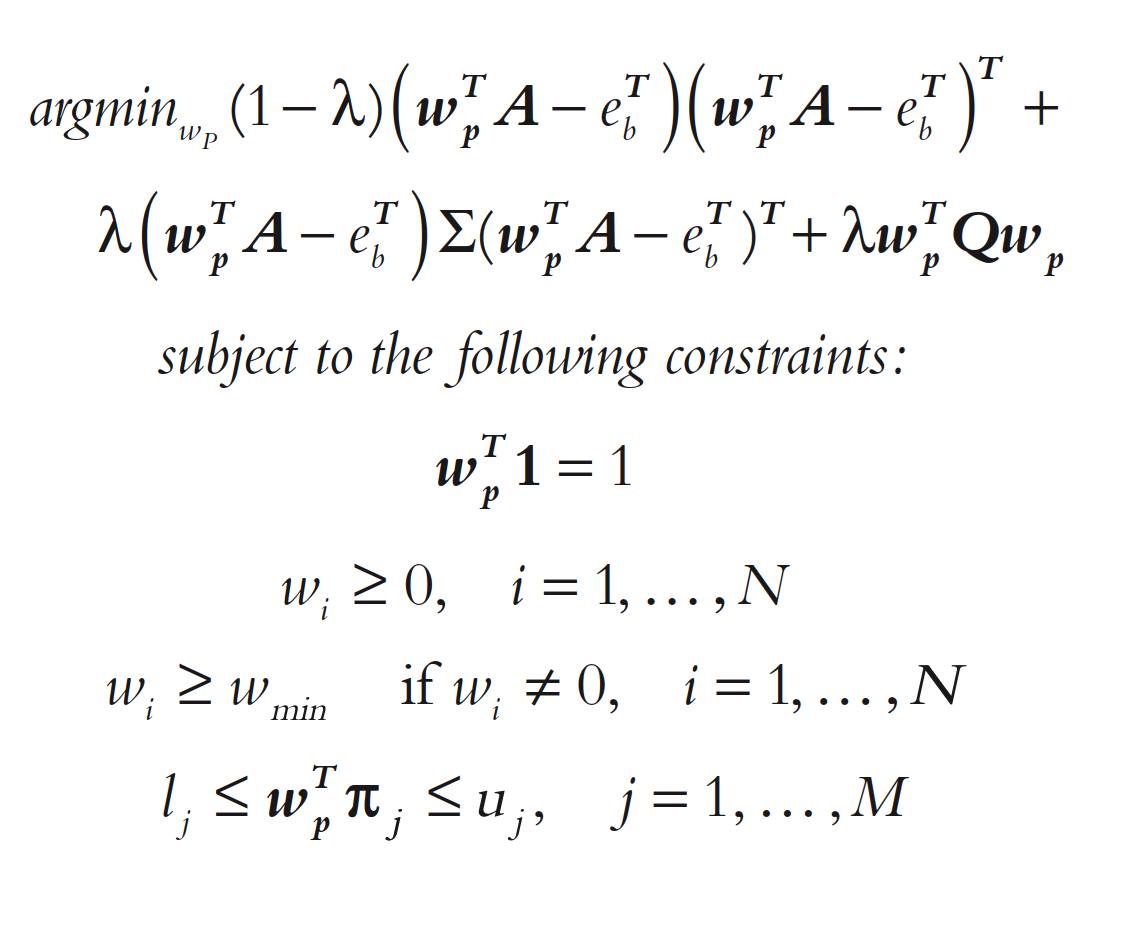
參考"Factors to Assets: Mapping Factor Exposures to Asset Allocations", 我直接搬公式給各位看。
雖然看起來比較雜,不過實際上用程式運算矩陣很快。
N個資產,K個因子。
Wp: N個資產權重向量
A: N×K 資產的因子曝露矩陣
Σ: K×K 因子共變異矩陣
Q: N×N 資產風險共變異矩陣
eb: 基準因子曝露向量
λ: 目標函數的主動變異數成分(可以直接當0.99)
Wmin: 最小交易部位
πj: 第j組線性資產屬性的向量
lj,uj: 分別為πj的上下界
「狂徒,算出來了,這有什麼用?」
用在資金不夠、流動性不佳、工具缺乏..的時候。
理論上妳可以自由投資因子,但實際上市場不完美。
例如妳現在手中只有一點錢,而市面上有些股票又買不起,既有的因子ETF也不健全,那妳就可以用這些公式,做出最接近目標因子組合的資產/ETF/個股組合。
當然,如果你不知道投資組合卻知道因子(somehow),妳大概只是把因子ETF當成明牌而已。
我建議先了解資產配置,再學習因子分析,就會知道因子配置的高效之處。
想看書的朋友可以看石川那本,想討論的也可以進入因子投資社群。
https://line.me/ti/g2/J3M1kPs7vCIRlQ42R7JENbCNXDYQfp3l1YB4dw
#因子投資
#狂徒投資
#暴徒投資
